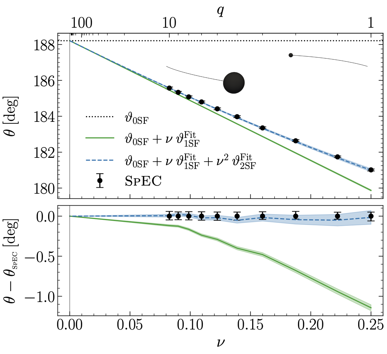
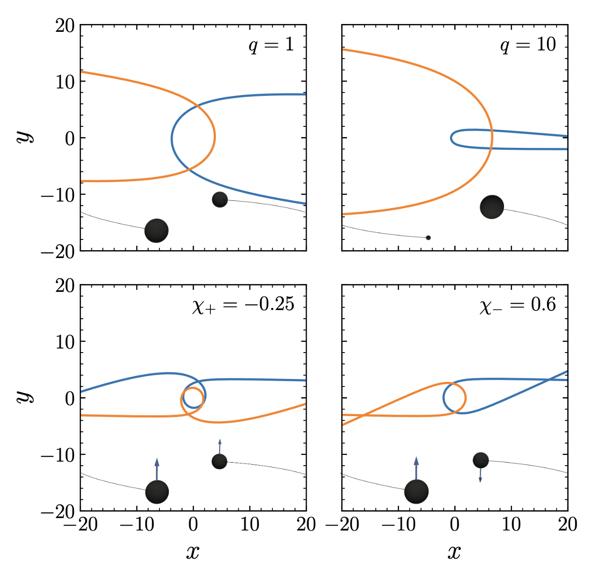
introductions Introduction to numerical relativity Introduction to self-force theory research Resummation about the separatrix Binary black hole scattering with SpEC Probing perturbative scattering with SpEC